Monday, 27 July 2020

Saturday, 25 July 2020

triangles 9th class cbse by aiimiit

1.)7.1 exercise 1 to 4 wums
https://youtu.be/ctEwd0NlM8U
2).7.1 exercise 1 2 3 8 sums
https://youtu.be/8epHO5FK0Ac
3.)7.1  5 6 7 sums
https://youtu.be/15BtOWClGK8
4)7.2 exercise 12 3 4 sums
https://youtu.be/61BGBrZbpVE
5).7.2 exercise 5,6,7 
https://youtu.be/i2vKm1n-zWo
6)7.3 exercise
https://youtu.be/grMMFta5gYw
7)7.4 exercise
https://youtu.be/WsehWXConZc

Thursday, 23 July 2020

trigonometry sums using some figures given by aiimiit

Video link 
https://youtu.be/Is5Go00nxcI

complementary angles using angle sum property work sheet and video link by aiimiit

Video link of this work sheet

https://youtu.be/JPVyxAeQQYU

complementary angles to find theta by aiimiit

Video link 

https://youtu.be/Tnt5Zx9V0q8

magnetism video links by aiimiit

1.magnetic feild
https://youtu.be/fUH59HbnM70
2.magentic lines of force
https://youtu.be/VdeRwOqJdLQ
3.solenoid
https://youtu.be/65v6uWOc3u4

 13.9 activity emi by double coil 
https://youtu.be/OTHvwJfARWE

Differences between ac and dc 
https://youtu.be/0mLC2j_oirc

All rules in magnetism lesson and their use
https://youtu.be/IK3BsfA9NQs

Earth wire
https://youtu.be/bmAC5pFYhiM

chemical reactions topics video list links by aiimiit

1.types of chemical reactions
https://youtu.be/MalRM02gyOo
2.combination and decomposition
https://youtu.be/xVBfMyijQ1s
3.displacement and doublee displacement
https://youtu.be/paP3k05Mtgs
4.exothermic and endothermic reactions
https://youtu.be/oS8rK1Pm3nw
5.oxidation and redusctions
https://youtu.be/v_kssItUc18
6.redox reactions
https://youtu.be/DU8C3lvPixg
7.how to write firmulas using cations aand anions by criss cross methkd
https://youtu.be/gg6v437Mygw
8.neutralisation explanation
https://youtu.be/Ru6tGwUsCGA
9.how to covert chemical reactions to word equations
Video 1
https://youtu.be/-lGIhcfa3NE
Video 2
https://youtu.be/pc116yX0YYE
Video 3
https://youtu.be/zGxaU8AWgV4
10.balancing of reactions
Video part 1
https://youtu.be/ZteraoRHmfw
Video part 2
https://youtu.be/Mo5UyNsvSv0
Video part 3
https://youtu.be/4wGPMnZOrqg

periodic table video lists and work sheets links

1.dobernier triad
https://youtu.be/0pa5VIHTiDc
2.newland law of octaves
https://youtu.be/cDbHNNTRBmY
3.medeleevs table
https://youtu.be/buc8jNxt5CA
4.moseleys table
https://youtu.be/XvOErbRvoEE
5.atomic size in group and period
https://youtu.be/TbgXCUyghxc
6.metallic character in group and periods
https://youtu.be/g6h7guLcoqY
7.non metallic character 
https://youtu.be/vi0xhZPZmcg
8.electron affinity
https://youtu.be/zMhTsT1MZ-Q
9.ionisation energy
https://youtu.be/VzVjfkXb6Cs
10.valency in grps and perios
https://youtu.be/i_r_0Unuhgs
11.valence eleectrons in grps and perios
https://youtu.be/9x8khTurViM
12.reactivity in grps and period
https://youtu.be/zqnQcgdzcbs
13.periodic classification tables for easy understanding
https://youtu.be/Qx7h9tiYzFs
14.activities of periodic tables
https://youtu.be/iJ7x56TQVeI
15.electronic configuaration cbse method
https://youtu.be/JRZ2qCIrXHQ
16.electronic configurations by mollers diagram
https://youtu.be/5exCRAthWng
17.comparsion of both varities configurations
https://youtu.be/xqO4XuPsDlg
18.quantum numbers explanation
Not there in 10th sylabus
https://youtu.be/Y_S5BQq-494

acids and bases work sheet and video links by aiimiit

1.differences between acids and bases
https://youtu.be/JO-ZamRRYZ4
2.ph scale
https://youtu.be/IuOQfKbBSzw
3.prperties of acids and bases
https://youtu.be/4F0ShchMQ0k
4.salts types
https://youtu.be/w0NtoiigbcE
5.strength if acids bases and salts
https://youtu.be/sdf-Qr-DLsg
4.chloalkali pricess
https://youtu.be/o7G37f_0DUo
5.bleaching powder
https://youtu.be/9tT8tz0DBsc
6.bakin soda
https://youtu.be/GQ3MGSkUjFc
7.washing soda
https://youtu.be/dxGGcQwCs7w
8.plaster of paris
https://youtu.be/kXO1L43rG6M
9.water of crystallisation
https://youtu.be/y2DC0neML28
10.activities of acids and bases lesson 10th cbse ncert text book

https://youtu.be/rVB4vCBivrU

https://youtu.be/VPZfWtZI99I
11.neutralisation 
Acids with bases

Neutarlisation of phospharic acid
https://youtu.be/DisrHdgBgKI

Neutralisation with carbonic acid
https://youtu.be/bikGuS3mVb8

Neutralisation with acetic acid
https://youtu.be/-AOAdkLT6x0

Neutralisation with sulphuric acid
https://youtu.be/iSss5OU7ljQ

Neutralisation with nitric acid
https://youtu.be/Hcom4t3IFug

Neutralisation with hydrochloric acid
https://youtu.be/8Va_6YKn7NI

Neutralisation general explanation
https://youtu.be/Ru6tGwUsCGA





Monday, 20 July 2020

trigonometry complementary angles basic level sums by AIIMIIT

Video link of this work sheet

https://youtu.be/8W0YgqhP_DA

trigonometry finding a and b using table by AIIMIIT

Video link of this work sheet

https://youtu.be/temo_PNikDM

triangles videos list of 9th cbse maths text book by aiimiit

Exercise 7.1.  1 to 4 sums
https://youtu.be/ctEwd0NlM8U
Exercise 7.1 5. 6. 7. Sums
https://youtu.be/15BtOWClGK8
Exercise 7.1. 1 2 3 egs
https://youtu.be/8epHO5FK0Ac
Exercise 7.2  1 to 4 sums
https://youtu.be/61BGBrZbpVE
Exercise 7.2   5 6 7 8 sums
https://youtu.be/i2vKm1n-zWo
Exercise 7.2 6th eg
https://youtu.be/2bmaop3X3k4
Exercise 7.3
https://youtu.be/grMMFta5gYw
Exercise 7.4
https://youtu.be/WsehWXConZc
 Example 7.4
https://youtu.be/BvQZRC6R914

Saturday, 11 July 2020

alcohols work sheet by AIIMIIT

1.what is finctional group of alcohol
2.what is siffix for alcohols
3.what are formulas of methanol to decanol
Names formulas anormal and dot atructures
4.what is denatured alcohol
5.what is wash and absolute alcohol
6.what is gasohol
7.can we consider alcohols as bases as they have OH
8.what is general formulas of alcohols
9.why ethanol do not conduct electricity
10.what is rectified spirit

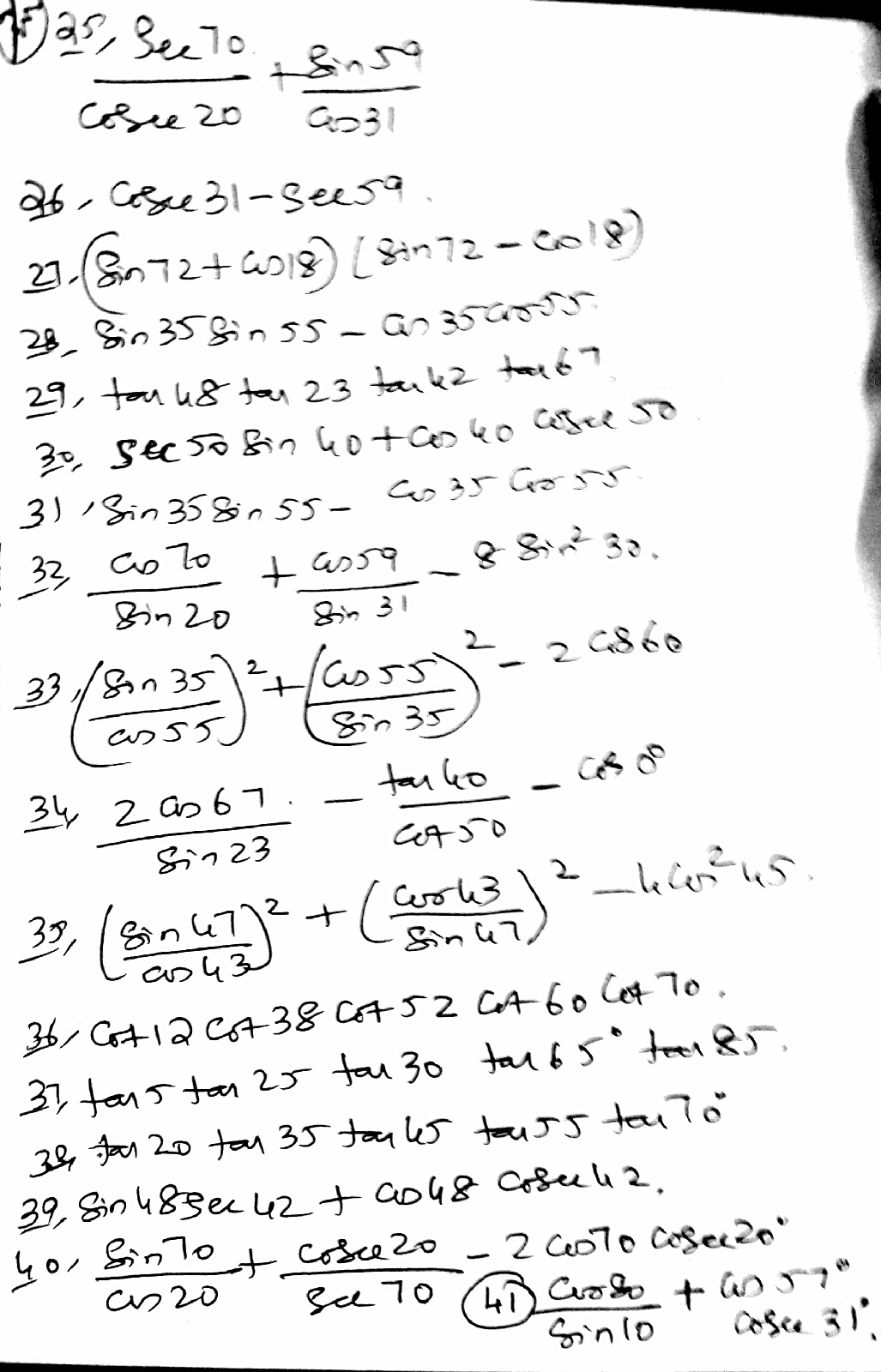
trigonometry basic sums with work sheet link and video link by AIIMIIT

Video link

https://youtu.be/d216ooSb-34

Friday, 10 July 2020

Trigonometry all topics worksheets and videos list by AIIMIIT

1.Trigonometry basics how to write sides of all ratios

https://youtu.be/HBE6w__kcRg
2.trigonometry basic sums

https://youtu.be/d216ooSb-34

http://aiimiit.blogspot.com/2020/07/trigonometry-basic-sums-with-work-sheet.html

3.trigonometry basic sums part 3 

https://youtu.be/qmmtUJRA784

http://aiimiit.blogspot.com/2020/07/trigonometry-basic-sums-part-3-work.html

4.trigonometry ratios writing table and there derivations geometrically

https://youtu.be/r35ThSNEojg

http://aiimiit.blogspot.com/2020/07/trigonometey-finding-angles-by-aiimiit.html


5.trigonometry finding angles @

http://aiimiit.blogspot.com/2020/07/trigonometey-finding-angles-by-aiimiit.html

6.trigonometric ratios values direc substitution sums explained with work sheet

https://youtu.be/uq8wp41WXsQ

http://aiimiit.blogspot.com/2020/07/trigonometry-ratios-values-substitution.html

7.trigonometry finding angles  using tables

https://youtu.be/FD4mEok3wfg

http://aiimiit.blogspot.com/2020/07/trigonometey-finding-angles-by-aiimiit.html

8.trigonometry finding. A. And b using table  by AIIMIIT

http://aiimiit.blogspot.com/2020/07/trigonometry-finding-and-b-using-table.html

https://youtu.be/temo_PNikDM

9.ComplementarY angles basic level sums by AIIMIIT

http://aiimiit.blogspot.com/2020/07/trigonometry-complementary-angles-basic.html

https://youtu.be/8W0YgqhP_DA

10.complementary angles level 2 sums with work sheet and video link 

https://youtu.be/n7HaTBnZGBQ

http://aiimiit.blogspot.com/2020/07/trigonmetry-complementary-angles-level.html

11.complementary angles finding theta 

http://aiimiit.blogspot.com/2020/07/complementary-angles-to-find-theta-by.html

https://youtu.be/Tnt5Zx9V0q8

12.complementary angles using angle sum propertyl

http://aiimiit.blogspot.com/2020/07/complementary-angles-using-angle-sum.html

https://youtu.be/JPVyxAeQQYU

13.trigonometric sums of some figures given

http://aiimiit.blogspot.com/2020/07/trigonometry-sums-using-some-figures.html

https://youtu.be/Is5Go00nxcI

14.trigonometric identities derivation video

https://youtu.be/9Asopip6Pkc

15.trigonometric identities basic level sums

http://aiimiit.blogspot.com/2020/07/trignommetry-basic-sums-with-work-shewt.html

https://youtu.be/urx_qyhrMPY

https://youtu.be/vSo4OObl0QQ

16.trignometric identities using  ratinalisation

http://aiimiit.blogspot.com/2020/07/trigonometric-identities-using.html

https://youtu.be/q9v50yxFynU

17.trignometric identiriea using algebric identities

http://aiimiit.blogspot.com/2020/07/trigonometric-identities-using-algebric.html

https://youtu.be/UMT_J1Eo4ZE




Thursday, 9 July 2020

covalent bond by AIIMIIT

1.Define covalent bond
2.wwhat are satble elements with valency zero
3.wht is difference between polar and non polar covalent bonds
4.what is the shape of sulphur molecule
5.whay covalent compounds dont conduct electricity
6.why covalent compounds have low mp and bp
7.why covalent are compounds are soluble only in non polar solvents
8.what carbbon undergo only covalent bondings
9.can metals undergo covalent bondings .explain
10.why only non metals undego covalent bondinga
11.

Monday, 6 July 2020

metallurgy topics worksheet and videos list

1.Differnces between metals and non metals
https://youtu.be/QrACQsviGnc
https://youtu.be/6j9EHRaEoPw
https://youtu.be/0UFe4LuXfWU


2.properties of metal and non metals
A.reaction of nonmetals with oxugen
https://youtu.be/vz4X_YV2oTY
B.reaction of metals with salts
https://youtu.be/0v7re9-BGFU
C.reaction of metals with acods
https://youtu.be/0gIYeQTK90Y
D.reaction of metals with water and hydrogen
https://youtu.be/DQGNNgO0XHc
E.reaction of etals and non metals with oxygen
https://youtu.be/MnqDRBEII7s
3.metallurgy and its steps

https://youtu.be/euVhl2QG1QE

http://aiimiit.blogspot.com/2020/07/matallurgy-work-sheet-by-aiimiit.html

Extraction of metals from oxides by electrolysis 

https://youtu.be/tLoLd1JwQXk

Elecyrolytic refining
https://youtu.be/oQTkI9qYuYU

Electroplating 
https://youtu.be/tfo-97CaULk


4.alloys
https://youtu.be/xO53LZUxcrE

http://aiimiit.blogspot.com/2020/07/alloys-compositionshow-to-make.html

5.Ionic bonds
https://youtu.be/rKeH4k_E6s0

6.metallurgy of alluuminium 
Bayers process 
Hall and heroults process
Hoopes process

https://youtu.be/D_aOGe3XpCI

framing new equations using condition given and old roots of other equation basic and actual sums by AIIMIIT

T

finding roots and verification for cubic polynomials work sheet and video link by AIIMIIT

Video link of work sheet

https://youtu.be/DtxB0PezkNU

how to write formula dot structure and normal structures of alkanes,alkenes and alkynes with video link by AIIMIIT

1.write general formulas of alkanes .alkenes,and alkynes
2.write formulas of first 10 compounds of alkanes ,alkenes, and alkynes
3.write normal structures of first 10 compounds of alkanes,alkenes and alkynes
4.write dot structures of alkanes,alkenes and alkynes
5.why methene and methyne are not possible
6.why alknaes are called satyrated and alkenes and alkynes are called unsaturated hydrocarbons

carbon compounds topics list and worksheet and videos list by AIIMIIT

Organic chemistry
Carbon compounds
Video links with work sheet in description

1.catenation and tetravalency

https://youtu.be/NLO9o-3d-rY

2.Allotropy
https://youtu.be/XZti0KRy3Ck

3.Functional groups definitions ,suffixs and prefixes 

https://youtu.be/cqphtgg4VX4

4.alkanes naimg formulas normal and dot structures
https://youtu.be/kmToDy6vdD8

5.covalent bonds

https://youtu.be/_gtTlJk27wY

http://aiimiit.blogspot.com/2020/07/covalent-bond-by-aiimiit.html

6.difference between covalent Nd ionic bonds

https://youtu.be/9KqXb5-gVeY

7.Alkenes naming formulas normal and dot structures
https://youtu.be/X6BB8WP94j0

8.Alkynes naming formulas normal and dot strucures
https://youtu.be/i1FjZ_MaNyo

9.alcohols 
https://youtu.be/-3aaYLCx_kY

http://aiimiit.blogspot.com/2020/07/alcohols-work-sheet-by-aiimiit.html

10.carboxyloc acids naming formulas normal and dot structures

https://youtu.be/HwTqRMJv7_c

11.aldehydes

https://youtu.be/4oTTSyCzbx0

12.ketones

https://youtu.be/YmBNeLD1z_g

13.Homologous. series 
https://youtu.be/hVeWgaWKOJI

14.esters naming nomenclature formulas normal and dot structires

https://youtu.be/iQAoaMsLdIE

15.alkyl halides names formula normal and dot structures
https://youtu.be/7KqDK0zjjDE

16.differences between saturated and unsaturated hydrocarbons
https://youtu.be/L3AjVFPTpf8

17.isomerism  and nomenclature

Video 1 structural isemers
https://youtu.be/DkcgYOzM17o

Video 2 positional isomers
https://youtu.be/xw6JeXTedaU

Video 3 functional isomers 
https://youtu.be/7hUCyyvD4qU

18.oxidation  reactions of organic compounds video link

https://youtu.be/-l5nVR1p3-U

19.combustion reactions

https://youtu.be/tob0lTAVl-A

20.additionrections

https://youtu.be/kHwdBkgWDJM

21.substitution reactions

https://youtu.be/NzYTcFMm3Sk

22.hydrolysis of alkenes giving alvohols

https://youtu.be/rTWegiYPJpo

23.cycloalkanes 

https://youtu.be/OpC7DLGx1ik

24.carboxylic acids preparation and properties
https://youtu.be/7Mvv5fKXliw

25.diffwrnces between alcohols and carboxylic acids
https://youtu.be/KleHkhInHt0

26.differences between soaps and detergents

https://youtu.be/plbpGxmG-eE

27.esterification
https://youtu.be/6Sk4_LTRk9g

28.saponification
https://youtu.be/kzM8h1-P92g

29.test or alcohols
https://youtu.be/mq6lB-FwUWo


30.cleaning action of soap

https://youtu.be/0BTYoCb6KVg

31.iupac names





















functional group worksheet and video link by AIIMIIT

video link of this work sheet

https://youtu.be/cqphtgg4VX4

1.Define functional group
2.what are functional groups of fallowing
Alcohols,carboxylic acids,esters,ketones,aldehydes
3.what are suffixes for above functional groups
4.write names of all above functional groups upto 10 
5.what are hudrocarbons
6.what  do you mean by alkyl halides
7.what is functional group of ether
8.what are functional groups for nitro,amines,nitro
9.are alcholos OH and base OH are same
10.Are alcohols basic in nature as they have OH
11.