AIIMIIT education by naveen rachuri
Friday, 3 July 2020
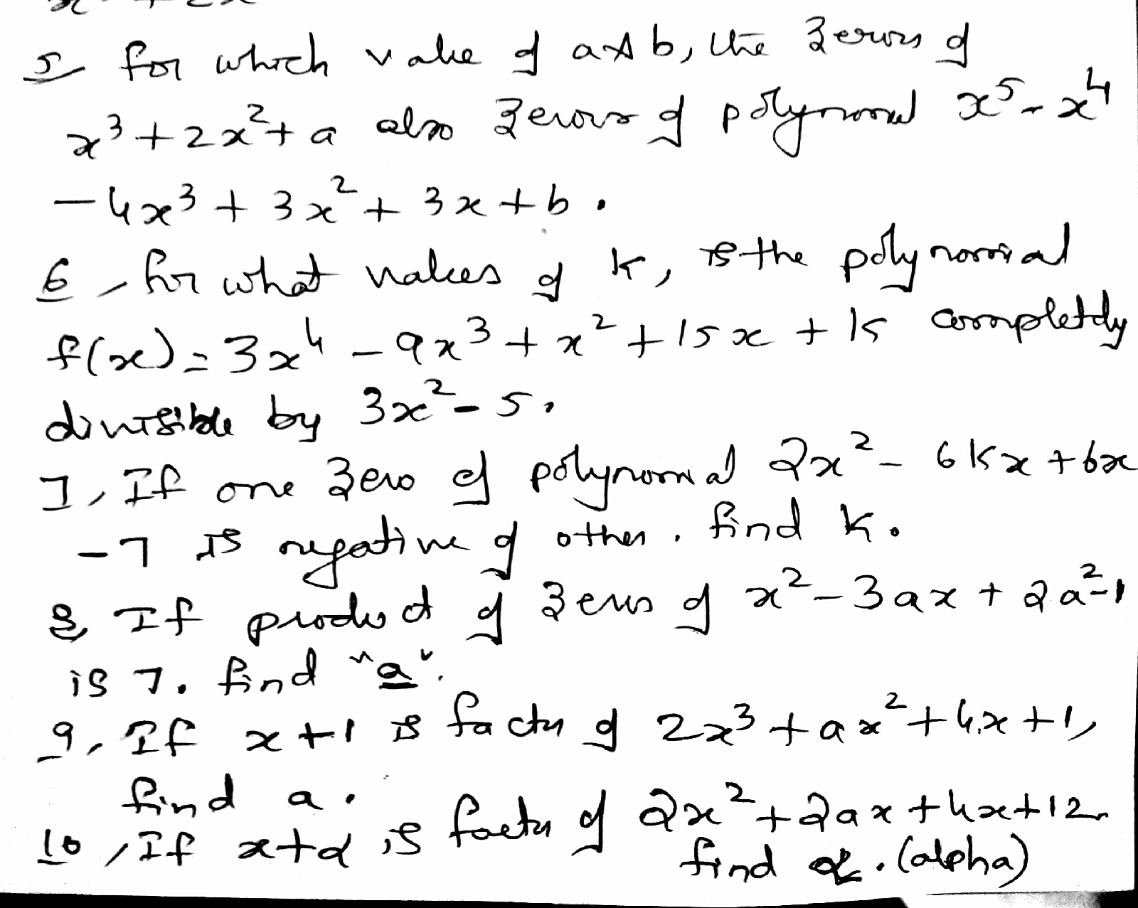
finding k or a or b in polynomials by AIIMIIT
video links of this work sheet
https://youtu.be/uae4W3h1BkU
No comments:
Post a Comment
Newer Post
Older Post
Home
Subscribe to:
Post Comments (Atom)
No comments:
Post a Comment